A f o gx b g o fx. Fx 3x 2 gx 2 x.
Intip Solusi Super Menyelesaikan Soal Fungsi Komposisi Buat
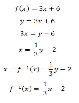
Contoh soal fungsi komposisi dan fungsi invers kelas xi. Contoh soal dan pembahasan tentang invers fungsi komposisi. Dengan kata lain daerah asal dari fx merupakan daerah asal bagi f 1 x dan daerah asal dari fx merupakan daerah hasil bagi f 1 x. Kumpulan soal fungsi komposisi dan invers beberapa model soal yang umum tentang fungsi komposisi dan invers anatara lain. Perhatikan contoh contoh berikut ini. Soal nomor 1 diberikan dua buah fungsi masing masing fx dan gx berturut turut adalah. Setelah persamaan x diperoleh maka ubah x menjadi invers fungsi atau f 1 x dan ubah y menjadi x.
Jika a dan b berkorespondensi satu satu maka suatu fungsi f. Perhatikan contoh contoh berikut ini. Begitulah cara menentukan invers fungsi secara manual meskipun sebenarnya banyak rumus rumus khusus yang tujuannya untuk mempermudah pengerjaan. Contoh soal dan pembahasan tentang fungsi komposisi. Sekian dulu semoga materi fungsi komposisi fungsi dan invers fungsi matematika bisa bermanfaat buat sobat hitung yang duduk di sma. Soal nomor 29 penghasilan per bulan seorang karyawan terdiri atas gaji pokok dan bonus penjualan.
Soal nomor 1 tentukan invers dari fungsi fungsi berikut ini. Akan tetapi semakin banyak rumus yang dihafal tentu saja semakin besar kemungkinan terjadi kesalahan. Contoh soal dan pembahasan tentang fungsi invers. Contoh soal fungsi komposisi jawaban dan pembahasannya kelas 10 soal no1 utbk 2019 diketahui grafik fungsi f dan g dengan beberapa nilai fungsi f dan g sebagai berikut. A fx 2x 3 b fx 2x 2 3. Berikut ini materi lengkap tentang fungsi mulai dari pengertian sifat sifat relasi dan fungsi fungsi komposisi fungsi invers contoh soal.
Pembahasan a fx 2x 3 misal fx kita namakan y saja sehingga fungsi di atas bisa. Gaji pokok karyawan tersebut adalah rp450000000. Buat sobat hitung postingan materi invers fungsi komposisi akan kita sajikan di postingan selanjutnya karena materinya cukup panjang. A b mempunyai fungsi invers f 1.














