Contoh surat perjanjian jual beli ruko kios contoh surat perjanjian jual beli rukokios. Contoh surat perjanjian pengikatan jual beli rumah sppjb ini diperlukan ketika terjadi transaksi jual beli antara 2 pihakapa bedanya dengan surat jual beli biasa.
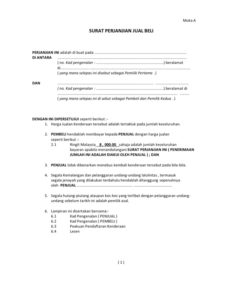
Surat Perjanjian Jual Beli Kereta Kaedah Doc Surat
Contoh perjanjian jual beli. Contoh surat perjanjian dalam dunia bisnis pasti tidak jauh dengan yang namanya surat perjanjian. Contohnya adalah pada proses jual beli tanah. Ditambah lagi tidak banyak sumber contoh surat jual beli tanah yang ada baik di internet maupun yang dapat dibeli. Surat perjanjian jual beli adalah surat yang dibuat oleh penjual dan pembeli untuk menerangkan atau menjelaskan hak dan kewajiban kedua belah pihak. Mungkin sampai saat ini masih banyak orang yang belum mengetahui tentang surat. Pada artikel contoh surat perjanjian jual beli tanah terbaru kali ini kita akan membahas mengenai topik yang hampir sama.
Surat perjanjian ini bertujuan untuk mengingatkan antara kedua belah pihak atau lebih untuk melakukan sesuatu hal. Contoh surat perjanjian jual beli tanah terbaru 2020. Beberapa hal penting yang tertera di surat perjanjian jual beli tanah mungkin akan terdengar awam dan sulit di mengerti. Anda bisa mengunduh download contoh surat perjanjian jual beli rumah versi lamudi dalam bentuk pdf dan doc di akhir artikel ini. Yang bertanda tangan di bawah ini. Pada artikel sebelumnya kita telah membahas mengenai surat perjanjian jual beli rumah sederhana.
Surat perjanjian mei 02 2020 0931. Penjual berkewajiban menyerahkan tanah kepada pihak pembeli dan dan. Selanjutnya disebut sebagai pihak kesatu 1. 4 contoh surat perjanjian jual beli motor untuk penjual dan pembeli surat perjanjian jual beli motor merupakan surat yang berisi informasi tentang transaksi dan ketentuan ketentuan yang ada di dalam proses transaksi jual beli tersebut seperti menjelaskan objek dan biaya yang dikeluarkan untuk membeli objek yang dijualbelikan. Entah itu surat perjanjian tentang jual beli tanah sewa menyewa meminjam uang dan lain lain. Kebutuhan masyarakat akan kepemilikan aset khususnya dibidang properti kini makin meningkat dari waktu ke waktu.
Surat perjanjian jual beli kios. Perbedaannya adalah bahwa surat ini hanya bersifat pengikat atau surat awal yang digunakan untuk mengikat antara penjual dan pembeli. Kali ini kita akan berikan lebih banyak contoh surat perjanjian jual beli yang baik dan benar. Sebelumnya kami sudah pernah membahas mengenai surat perjanjian sewa rumah dan kali ini lamudi ingin menjelaskan hal hal penting yang harus ada di dalam surat perjanjian jual beli rumah. Dalam proses transaksi jual beli rumah maupun jual beli apapun yang memiliki nilai jual tinggi sebaiknya digunakan contoh surat perjanjian jual beli rumah dengan 11 pasal berikut ini. Hal ini bertujuan untuk mencegah hal hal yang tidak diinginkan menghindari sengketa dan mengikat kedua belah pihak yaitu penjual dan pembeli untuk terikat dan bertanggung jawab atas proses jual beli.














