Kali ini kita akan mencoba memulai latihan dari contoh soal perkalian sinus dan cosinus. Cos a b cos a cos b sin a sin b.
Soal Soal Trigonometri Matematika Sma Kelas Xi
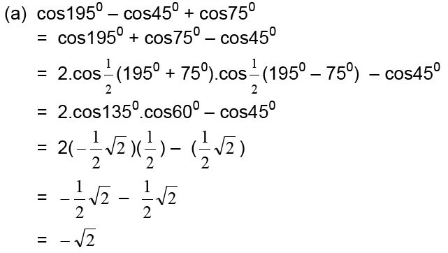
Contoh soal dan pembahasan jumlah dan selisih sinus dan cosinus. Rumus perkalian sinus dan cosinus penjumlahan pengurangan contoh soal jawaban jumlah selisih trigonometri matematika berikut ini adalah perkalian penjumlahan dan pengurangan sinus dan cosinus. Rumus trigonometri jumlah dan selisih dua sudut dapat digunakan untuk menentukan nilai perbandingan tirgonometri suatu sudut yang tidak diketahui misalnya kita dapat menentukan nilai sinus dari sudut 165 o dengan menggunakan rumus jumlah dua sudut istimewa yaitu 120 o 45 o. Demikian pembahasan mengenai rumus jumlah dan selisih fungsi trigonometri sinus dan cosinus. Pelajari materi latihan soal dan pembahasan rumus jumlah dan selisih sinus dan cosinus. Jumlah sudut dalam trigonometri dirumuskan sebagai. A sin 75 o sin 15 o b cos 165 o cos 75 o jawab 02.
A sin 75 b cos 75 c tan 105 pembahasan a rumus jumlah dua sudut untuk sinus. Contoh soal rumus jumlah dan selish trigonometri sinus dan cosinus pada artikel kali ini saya akan membahas tentang bagaimana cara menyelesaikan soal soal yang ada kaitannya dengan rumus jumlah dan selisih trigonometri. Untuk lebih jelasnya pelajarilah contoh soal berikut ini. Ada dua cara yang digunakan untuk memudahkan kita mengingat nilai dari sudut istimewa. Rumus jumlah dan selisih sinus dan kosinus merupakan bentuk manipulasi dari rumus hasil kali sinus dan kosinus yang telah dibahas sebelumnya. Pada artikel sebelumnya kita sudah pernah membahas rumus rumus yang digunakan dalam perkalian sinus dan cosinus kali ini kita akan memberikan beberapa soal yang ada untuk di.
Semoga dapat membantu kamu memahami konsep ini. Topik yang dibahas penggunaan rumus jumlah dan selisih sudut. Cek juga paket pelajaran dari bimbel online zenius education. Fungsi dari rumus jumlah dan selisih dua sudut sinus cosinus dan tangen digunakan untuk menentukan niali sudut yang tidak ada dalam sudut istimewa. Kita juga dapat menentukan nilai sinus 165 o dengan menggunakan rumus selisih dua sudut yaitu 210 o 45 o. Oleh opan diperbarui 05092017 dibuat 13102011 seorang guru matematika yang hobi menulis tiga bahasa yaitu bahasa indonesia matematika dan php.
Tentukanlah nilai dari. 1 dengan menggunakan rumus penjumlahan dua sudut tentukan nilai dari. Pembahasan contoh soal perkalian sinus dan cosinus melanjutkan dari materi sebelumnya yang membahas perkalian sinus dan cosinus. Cos 75 cos 15 12 cos 75 15. Simak di sini untuk persiapan pelajaran sma kelas 11 kurikulum 2013 revisi. Tentukanlah niai dari.
Sebelumnya sobat pasti sudah tahu bagaimana cara menentukan nilai sudut istimewa.














