Dengan demikian t 0 22 x 10 6 s. V menunjukkan kelajuan peristiwa atau pengamat c adalah kelajuan cahaya dan t adalah waktu yang peristiwa yang diamati oleh pengamat yang bergerak atau sebaliknya.
Relativitas Einstein
Contoh soal dilatasi waktu. Nilai ab merupakan pusat dilatasi yaitu 13. Tetapan transformasi k adalah bilangan yang lebih besar dari 1 sehingga dalam persamaan di atas δ t selalu lebih besar daripada δ t 0dapatlah kita simpulkan bahwa selang waktu yang diamati oleh jam yang bergerak terhadap kejadian adalah lebih lama daripada selang waktu yang diamati oleh jam yang diam terhadap kejadian δ t δ t 0peristiwa ini dinamakan dilatasi waktu atau pemuluran waktu. November 27 2019 januari 26 2020 admin contoh soal dilatasi waktu dilatasi waktu pembahasan soal dilatasi waktu postingan ini membahas contoh soal dilatasi waktu dan pembahasannya. Rumus relativitas massa dan energi. Untuk mencari luas segitiga tanpa digambarkan bisa digunakan dibaca pada artikel. Selang waktu yang diukur oleh jam yang relatif bergerak terhadap kejadian dengan jam yang diam terhadap kejadian waktu.
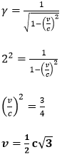
Seperti ruang dan waktu. Dengan demikian kita harus menghitung γ terlebih dahulu. Penyelesaian soal ini sangatlah mudah masing masin titik cukup dikalikan dengan faktor dilatasi yaitu 3. March 27 2018 admin leave a comment. Dilatasi waktu menurut einstein selang waktu yang terukur oleh pengamat yang diam terhadap kejadian dan yang terukur oleh pengamat yang bergerak dengan kelajuan konstan terhadap kejadian tidaklah sama. Contoh soal dan jawaban relativitas 1.
Perisitiwa tersebut dinamakan dilatasi waktu. Secara matematis kedua waktu tersebut dapat dituliskan dalam persamaan matematis sebagai barikut. Dilatasi waktu dalam mengemukakan teori relativitas khusus einstein menyatakan bahwa waktu pengamatan antara pengamat yang diam dengan pengamat yang bergerak relatif terhadap kejadianperistiwa adalah tidak sama. Postulat teori relativitas einstein transformasi lorentz dilatasi waktu kontraksi panjang contoh soal rumus jawaban fisika albert einstein 1879 1955 mendasarkan teorinya pada dua postulat dan semua kesimpulan mengenai relativitas khusus diturunkan dari kedua postulat tersebut. Waktu hidup muon menurut kerangka acuan muon adalah selang waktu sejati t 0. Hitunglah luas segitiga yang baru.
Hal ini terjadi karena waktu bukanlah suatu besaran yang mutlak. Diketahui sebuah segitiga abc dengan titik sudut a 23 b 71 dan c 2 5. Dilatasi waktu menjelaskan bahwa waktu pengamatan antara pengamat yang diam dengan pengamat yang bergerak relatif terhadap kejadian adalah tidak sama. Tentukanlah bayangan segitiga abc atau abc. Mencari luas bangun datar jika diketahui koordinat. Kita akan menggunakan.
Jika segitiga abc tersebut di dilatasi 3 dengan pusat m 13. Maka akan diperoleh hasil a 69 b 213 dan c 6 15. A waktu hidup muon menurut pengamat di bumi adalah selang waktu relativistik t dihitung dengan dilatasi waktu t γt 0. Oleh karena itu dilatasi ruang dan waktu menjadi sangat tidak berpengaruh untuk benda yang bergerak jauh dibawah kecepatan cahaya.












