Kumpulan soal mudah sedang sukar. Pola rumus yang digunakan untuk soal soal integral trigonometri dengan teknik substitusi diantaranya asumsinya adik adik tidak menemui kesulitan dalam hal turunan fungsi trigonometri misalnya turunan dari sin 3x jadinya apa atau turunan dari cos 5x seperti apa jadinya jika lupa bagaimana turunan suatu fungsi trigonometri silakan diulang lagi atau sambil buka buku catatan.
Integral Dx Akar 16 X 2 Adalah Integral Substitusi
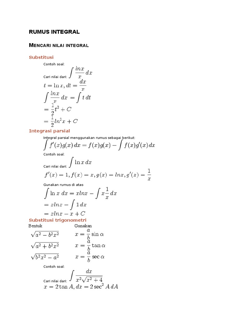
Contoh soal integral substitusi trigonometri. Kamu akan diajak untuk memahami materi hingga metode menyelesaikan soal. Tentukanlah hasil dari. Teknik integral substitusi dalam fungsi trigonometri. Contoh soal integral substitusi dan parsial dan pembahasan contoh soal 1. Fungsi trigonometri sebagai integran untuk beberapa kasus. Di sini kamu akan belajar tentang integral substitusi trigonometri melalui video yang dibawakan oleh bapak anton wardaya.
Du 2 sin 2x dx. Baik seperti itu saja artikel kali ini dari pintar nesia mengenai materi integral yang berjudul pengertian integral tentu dan tak tentu integral trigonometri dan contoh soal integral mudah dan pembahasn soal integral mudah mudahan artikel ini bisa di pahami dan menambah pengetahuan saya dan teman teman pembaca pintar nesia semuanya terimakasih telah berkunjung di pintar nesia.















