Berikut ini adalah 5 soal uas kalkulus lanjut ta 20172018 yang diujikan pada tanggal 11 januari 2018 oleh drs. Contoh soal kalkulus dasar dan jawaban pembahasan kalkulus merupakan metode ini didasarkan pada turunan dan fungsi dengan metode yang didasarkan pada penjumlahan perbedaan yang sangat kecil.
                        Contoh Soal Kalkulus Sistem Bilangan Real
Contoh soal kalkulus 1. Kedua jenis utama adalah kalkulus diferensial dan kalkulus integral. Calculus artinya batu kecil untuk menghitung adalah cabang ilmu matematika yang mencakup limit. Teori elektromagnetik maxwell dan teori relativitas einstein juga dirumuskan menggunakan rumus kalkulus diferensial. Grafik fungsi y x2 m y x y x pembahasan ujian akhir semester ganjil 20052006 kalkulus 1 ma1114 senin 2 januari 2006 uas 2005 2006 kalkulus i ma1114 yxm membagi luas daerah d menjadi 2 bagian yang sama. Limit dasar dan contoh soal limit. Saturday march 9 2013.
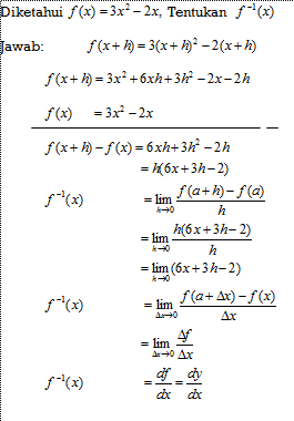
Contoh soal dan pembahasan kalkulus 1 integral. Soal nomor 1 hitung displaystyle int dfrac3x2 22sqrtx5sqrt3x2textdx soal nomor 2 hitunglah displaystyle int dfrac23 cos4 xtextdx soal nomor 3 hitunglah. 1 comments konsep dasar limit kalkulus 1 contoh soal kalkulus limit posted by rizal hidayat at 752 am. Kalkulus diferensial integral rumus sifat contoh soal by azzahra rahmah posted on december 21 2019 rumuscoid setelah sebelumnya kita membahas tentang rumus kombinasi matematika kali ini kita akan membahas materi tentang rumus kalkulus matematika lengkap kita akan jabarkan secara detail dan lengkap dari pengertian materi rumus dan contoh soal beserta pembahasannya. Cara membuat program olah data sederhana menggunakan netbean. Dian ahmad bs msi kepada mahasiswa semester 3 program studi pendidikan matematika fkip untan.
Keunggulan dalam memecahkan masalah matematis yang sulit dipecahkan menjadi salah satu faktor mengapa materi ini dipelajari secara luas dan salah satu ilmu penting di matematika. Secara garis besar contoh soal kalkulus adalah sebuah materi yang amat penting dalam berbagai ilmu termasuk matematika. Membuat login form dengan php level multi user vocaloid 2 hatsune miku full free download cara import database ke phpmyadmin yang file nya opt frm myd myi. Today quote jangan membuat kisah cintamu seperti garis asimtot yang hanya bisa mendekat tapi tidak akan pernah bersatu. Limit dasar dan contoh soal limit. Cara menggunakan ssh di android.
Gaya massa percepatan menggunakan perumusan kalkulus diferensial karena percepatan bisa dinyatakan sebagai turunan dari kecepatan. Soal nomor 1 buktikan bahwa displaystyle limx y to. 1001 soal pembahasan uas kalkulus i 1. Diketahui daerah d dibatasi oleh grafik y x2 dan y x. Posted in kumpulan soal soal tagged 10 contoh soal integral tak tentu contoh soal integral akar contoh soal integral dan pembahasannya pdf contoh soal integral kalkulus contoh soal integral pecahan contoh soal integral substitusi contoh soal integral tak tentu bentuk akar contoh soal integral tak tentu dari fungsi aljabar. Contoh soal dan jawaban kalkulus.
Home unlabelled kalkulus 1. Tutorial mencari bugs host. Bahkan rumus umum dari hukum kedua newton. Berikut ini adalah 8 soal ujian tengah semester kalkulus integral ta 20172018 yang diujikan oleh drs.












