Pembahasan limit bentuk. Untuk soal limit fungsi trigonometri dipisahkan dalam postingan lain karena soalnya akan terlalu banyak bila ditumpuk menjadi satu.
Contoh Soal Dan Pembahasan Turunan Fungsi Aljabar
Contoh soal limit fungsi aljabar. Penyajian rumussimbol matematika di sini menggunakan latex sehingga lebih smooth dari segi tampilan. Limit fungsi aljabar limit bisa diartikan sebagai menuju batas sesuatu yang dekat namun tidak bisa dicapai. Jika k konstanta fungsi f dan fungsi g adalah fungsi fungsi memiliki nilai limit yang mendekati bilangan c maka. Pengertian limit dalam ilmu matematika. Pada artikel ini quipper blog akan mengulas tentang strategi penyelesaian limit fungsi aljabar aturan lhopital dan modifikasi turunan solusi super atau super untuk menyelesaikan soal limit fungsi aljabar dan contoh soal. Soal juga dapat diunduh dengan mengklik tautan berikut.
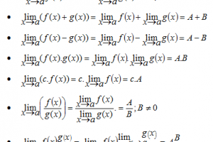
Contoh soal limit fungsi aljabar menggunakan analisis grafik. Lim x termasuk juga limit x 0 mulai dari yang mudah dulu tipe soal soal limit yang bisa diselesaikan dengan substitusi langsung seperti contoh berikut. Dalam mengerjakan soal limit fungsi aljabar usahakan agar penyebut tidak sama dengan nol. Dalam pengoperasian limit fungsi aljabar terdapat beberapa hukum atau teorema limit yang perlu diperhatikan. Limit didalam konsep ilmu matematik biasa digunakan untuk menjelaskan suatu sifat dari suatu fungsi saat agumen telah mendekati pada suatu titik tak terhingga atau sifat dari suatu barisan saat indeks mendekati tak hingga. Dalam bahasa matematika keadaan ini adalah umum disebut limit.
Limit x a. Salah satu caranya adalah dengan memfaktorkan pembilang dan membaginya dengan penyebut sehingga hasil yang didapatkan tepat. Contoh soal dan pembahasan tentang limit. 1 tentukan hasil dari. Berikut akan kami jelaska tentang pengertian beserta rumus metode sifat teorema dan contoh soalnya untuk lebih jelasnya sima pembahasan dibawah ini. Newer post older post home.
Limit biasa dipakai dalam kalkulus dan cabang lainnya dari analisis matematika untuk mencari turunan dan kontinyuan. Yuk simak lengkapnya di bawah ini. Berikut ini adalah contoh soal dan pembahasan super lengkap mengenai limit khusus fungsi aljabar. Soal pembahasan matematika sd smp sma. Pembahasan soal limit fungsi aljabar soal limit dengan pemfaktoran contoh limit dengan substitusi contoh limit dengan membagi pangkat tertinggi soal limit untuk tak terhingga. Contoh soal limit fungsi aljabar.
Contoh soal dan pembahasan tentang limit trigonometri.
















