2x1 x2. Pada artikel kali ini kami akan memberikan beberapa contoh program matlab yang bisa menjadi bahan latihan programming anda.
Model Dan Simulasi Matlab 1 Ppt Download
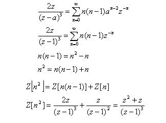
Contoh soal matlab dan penyelesaiannya. Admin dari blog bagikan contoh 2019 juga mengumpulkan gambar gambar lainnya terkait contoh soal invers transformasi z dan penyelesaiannya dibawah ini. Artikel ini berisi kumpulan contoh soal dan jawaban spltv sistem persamaan linear tiga variabel dengan metode subtitusi elimiasi campurangabungan determinan dan bentuk pecahan. Deret dan transformasi fourier majalah 1000guru. Itulah yang dapat kami bagikan terkait contoh soal invers transformasi z dan penyelesaiannya. Itu mengapa banyak industri yang menggunakan matlab. Berikut ini adalah contoh contohnya untuk anda.
Ubah persamaan liner berikut menjadi persamaan matriks dan cari nilai x1 x2 x3 dan x4. Admin blog contoh soal terbaik 2019 mengumpulkan gambar gambar lainnya yang berhubungan dengan kumpulan contoh soal deret fourier dan penyelesaiannya dibawah ini. 4944x42 plus caranya ya. Deret fourier dan deret taylor myblog. Deret fourier by muhamad rizal dirgantara on prezi. Logika fuzzy dengan matlab contoh kasus penelitian penyakit bayi.
Bila kita tekun dan rajin mengerjakan soal soal pasti mata pelajaran matematika akan terasa mudah bagi kita. Contoh soal dan penyelesaiannya terapan matriks sistem persamaan linear spl pada kesempatan kali ini akan diberikan 8 contoh terapan matriks dalam kehidupan sehari hari beserta cara untuk menyelesaikan masalah tersebut. Meskipun begitu kelebihan dan kekurangan bahasa pemrograman generasi keempat juga dimiliki oleh bahasa ini. Setelah kita bahas tentang peluang kejadian pada postingan sebelumnya kali ini kita bahas tentang contoh soal dan pembahasan materi peluang matematika. 15 contoh soal dan pembahasan materi peluang kejadian matematika. Admin blog contoh soal terbaik 2019 mengumpulkan gambar gambar lainnya yang berhubungan dengan contoh soal logika fuzzy metode tsukamoto dan penyelesaiannya dibawah ini.
Contoh soal pertidaksamaan rasional sederhanakan perpangkatan berikut lalu tentukan hasilnya. Itulah berbagi kumpulan data terkait contoh soal logika fuzzy metode tsukamoto dan penyelesaiannya. Soal dan pembahasan notasi sigma 1 5 istana mengajar 18 soal soal notasi sigma barisan deret. Beberapa contoh soal dan jawaban matematika di bawah ini bisa membantu kita berlatih dan memperlancar kemampuan kita dalam mengerjakan soal soal matematika.















