Contoh silabus ipa smp kurikulum 2013 aplikasi raport sd kurikulum 2013 dapodik soal uts matematika kelas 7 genap contoh soal faktorial sma contoh soal matriks singular dan penyelesaiannya prota untuk kelas 5 sd. Berikut informasi sepenuhnya tentang contoh soal menyederhanakan bentuk akar kurikulum 2013.
Cara Mengerjakan Soal Bentuk Sederhana Akar Guru Ilmu Sosial
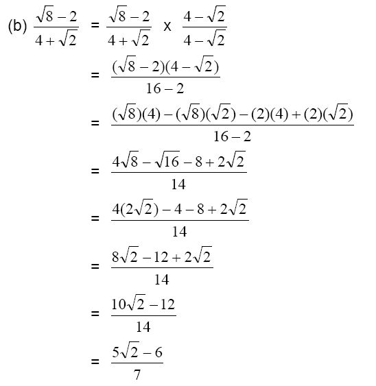
Contoh soal menyederhanakan bentuk akar kurikulum 2013. Cara mudah penyederhanaan bentuk akar. Selanjutnya pelajari contoh contoh berikut. Materi pembelajaran pertemuan ke 1 ke 2 ke 3 dan ke 4 a. Pembahasan a 2 32 52. 1 jika a 4 b 3 dan c 2 tentukan nilai dari. Soal bab i perpangkatan dan bentuk akar matematika smp kelas ix kurikulum 2013 semester 1.
Rangkuman matematika kelas 9 semester 1 kurikulum 2013 venny. B 53 33 3. Oleh pitri sundary diposting pada juli 7 2020. In contoh soal merasionalkan bentuk akar kurikulum 2013 contoh soal merasionalkan bentuk akar kurikulum 2013 kelas 10 by admin on july 31 2019 merasionalkan penyebut bentuk akar materi belajar merasionalkan penyebut pada pecahan bentuk akar rumah rumus pelajaran. A 2 32 52. Admin dari blog contoh soal terbaru 2019 juga mengumpulkan gambar gambar lainnya terkait contoh soal menyederhanakan bentuk akar kurikulum 2013 dibawah ini.
Posting pada rumus matematika smp ditag bentuk sederhana akar contoh soal bentuk akar kelas 9 contoh soal dan pembahasan menyederhanakan bentuk akar contoh soal menyederhanakan bentuk akar kurikulum 2013 menyederhanakan bentuk akar kelas 9 menyederhanakan bentuk pangkat operasi bentuk akar pembagian bentuk akar navigasi pos. Contoh soal menyederhanakan bentuk akar sma. 1 hitung dan sederhanakan bentuk akar berikut ini. Contoh soal menyederhanakan bentuk akar kurikulum 2013. Contoh soal perbandingan yang melibatkan nilai tempatnya untuk 4 sd. C 83 6 2 123 42.
Pembahasan contoh lain pelajari disini tentang menyederhanakan bentuk akar. Soal menyederhanakan pangkat sederhanakan bentuk akar dan pangkar berikut ini. Bab 1 bentuk pangkat akar. Soal terapan tentukan nilai p yang memenuhi persamaan berikut. Berikut gambar gambar mengenai contoh soal menyederhanakan bentuk akar kurikulum 2013.















