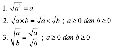
Perhatikan bahwa untuk mengubah penyebut yang asalahnya bentuk akar menjadi bilangan rasional dibutuhkan pengali. Contohnya adalah 3 5 6 7 dan sebagainya.
Cara Merasionalkan Penyebut Pecahan 14 Langkah Dengan Gambar
Contoh soal merasionalkan penyebut pecahan bentuk akar. Pecahan bentuk akar juga termasuk bilangan irasional misalnya 15 37 411 dan 213. A 2 32 52. Nah pada artikel ini akan membahas tentang cara merasionalkan penyebut pecahan bentuk akar. B 53 33 3. Penyebut yang berbentuk akar dari pecahan tersebut dapat diubah menjadi bilangan rasional. Dalam artikel tentang pengertian rumus dan operasi hitung bentuk akar telah dijelaskan bahwa bentuk akar adalah akar dari bilangan rasional yang hasilnya adalah bilangan irasional.
C 83 6 2 123 42. Bentuk bentuk bilangan tersebut dapat disederhanakan dengan cara merasionalkan penyebut pecahan pecahan tersebut. Kegiatan merasionalkan pada intinya mengubah bentuk akar pada penyebut menjadi bentuk bilangan rasional yang pada akhirnya bilangan tersebut dapat dinyatakan dalam bentuk yang lebih sederhana. Pada bagian ini kamu akan mempelajari cara merasionalkan penyebut pecahan pecahan tersebut. Kunci dalam merasionalkan penyebut sebuah pecahan yang berbentuk akar secara umum tergantung dari bentuk penyebutnya. Baik pembilang atau penyebut dikali dengan bentuk akar pada penyebut pecahan.
Pecahan yang penyebutnya bentuk akar juga termasuk bilangan irasional misalnya. Caranya yaitu dengan mengalikan pembilang dan penyebut pecahan pecahan tersebut dengan pasangan bentuk akar sekawan penyebutnya. Perhatikan beberapa contoh berikut. 1 hitung dan sederhanakan bentuk akar berikut ini. Contoh bilangan irasional adalah bentuk akar misalnya 5 7 11 dan 13. Pembahasan a 2 32 52.
Cara merasionalkan setiap penyebut berlainan.

















