Contoh soal dan pembahasan. Dalam sebuah kotak berisi 7 bola merah dan 5 bola putih.
Happy Happy Aja Contoh Soal Permutasi Dan Kombinasi
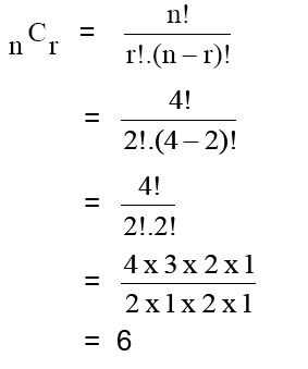
Contoh soal permutasi dan kombinasi. Pada kombinasi susunan xyxy yaitu sama dengan susunan yxyx sedangkan pada permutasi susunan xyxy dan susunanyxyx susunanannya dianggap susunan yang berbeda. Setelah mengetahui dua rumus tentang permutasi dan kombinasi hal yang tak kalah penting yaitu membedakan permasalahan yang termasuk dalam permutasi ataupun kombinasi. Merah hijau dan biru. P n k n. Permutasi dan kombinasi serta contoh soal dan penerapannya dalam kehidupan sehari hari kita kadang dihadapkan dengan masalah untuk menentukan banyak cara pemilihan beberapa objek menentukan banyak susunan kepanitiaan dan sebagainya. Karena pada kombinasi ini tidak memperhatikan urutannya oleh karena itu disinilah letak dari perbedaan antara kombinasi dengan permutasi.
Permasalahan yang selalu muncul berupa soal cerita dan dituntut agar bisa membedakan masalah tersebut termasuk kedalam permutasi ataupun kombinasi. Intinya rumus permutasi dipakai untuk suatu kasus atau permasalahan yang memperhatikan urutan. Permutasi k unsur dari n unsur dilambangkan oleh p n k dan dirumuskan sebagai berikut. Dari kota itu diambil 3 bola sekaligus. Berikut ini terdapat beberapa contoh soal permutasi dan kombinasi terdiri atas. Ada berapa banyak cara yang mungkin terjadi jika si anak dipersilahkan mengambil 2 bola secara acak dalam suatu kotak yang mengandung bolah berwarna.
Contoh soal peluang dan pembahasan contoh soal 1. Contoh soal permutasi dan kombinasi zuwaily. Lima putra dan tiga putri duduk berderet pada 8 kursi kosong sesuai dengan 8 lembar karcis bioskop yang mereka miliki. Perbedaan permutasi dan kombinasi. Misalnya berapa banyak cara memilih beberapa siswa dari sekelompok siswa sebagai pengurus kelas berapa banyak cara memilih beberapa kelereng dari kantong. Contoh soal permutasi dan kombinasi serta pembahasannya.
20 soal dan jawaban permutasi dan kombinasi matematika diskrit persamaan diferensial pada matematika diskrit contoh soal permutasi jawaban part ll 6 tips mengelola gaji dengan efektif cara mudah untuk awet muda pandangan ahli marifat tentang sehat sakit. Pengertian rumus contoh soal may 10 2020 april 3 2020 by agustian pada artikel kali ini kita akan membahas mengenai permutasi dan kombinasi. Karena harus terambil sekurang kurangnya 1 bola putih maka peluang tidak terambilnya bola putih tidak termasuk itungan sehingga. Contoh soal permutasi dan kombinasi. Terdapat 3 orang anak yang akan duduk bersama di satu bangku yang memanjang. Sementara untuk kombinasi dipakai untuk menyelesaikan permasalahan yang tidak memperhatikan urutan.
Peluang terambil sekurang kurangnya 1 bola putih adalah. Jadi apabila disebutkan nn adalah kombinasi rr. Pada kombinasi menggunakan lambang notasi yaitu cc. 122300 am contoh soal permutasi dan kombinasi serta pembahasannya matematika school 5 comments.















