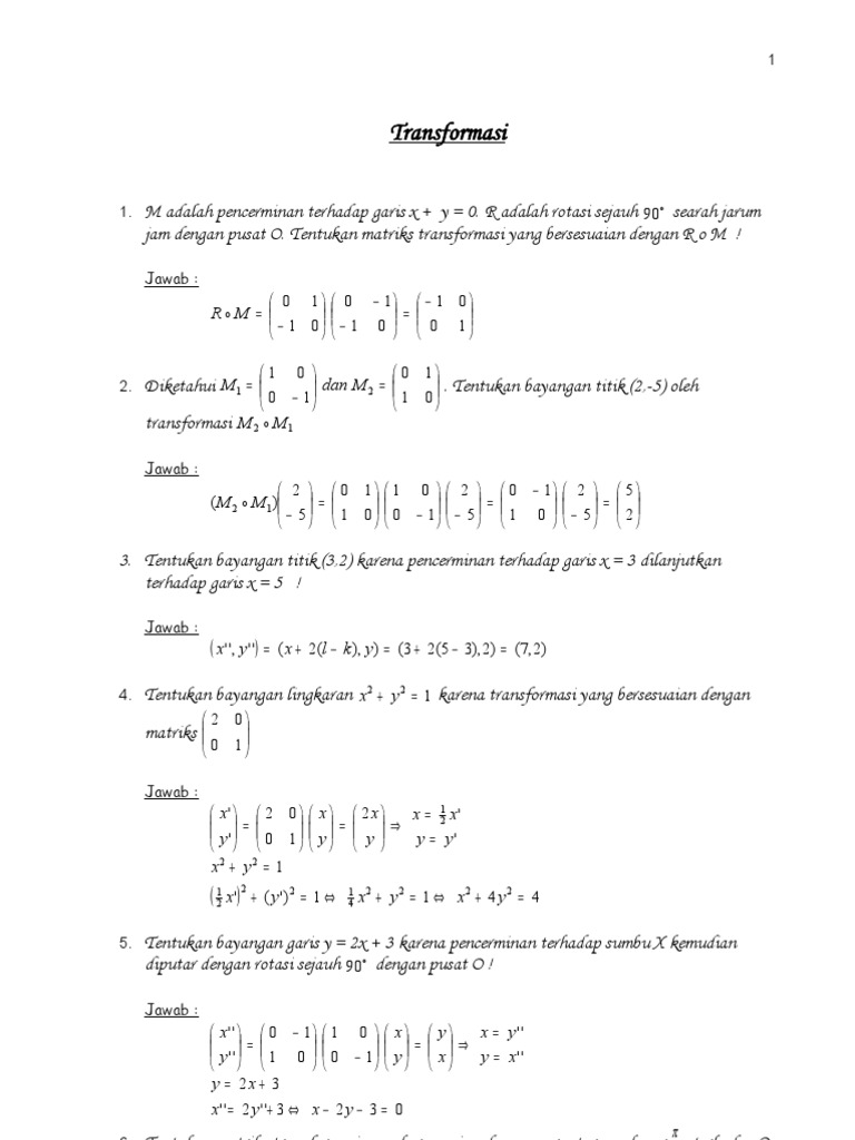
Reflesi adalah transformasi yang memindahkan titik titik dengan menggunakan sifat bayangan oleh suatu cermin. Pada kesempatan ini id ku memposting artikel tentang soal dan pembahasan refleksi pencerminan dengan matriks.
Pengertian Transormasi Geometri Jenis Jenis Dan Contoh Soal
Contoh soal transformasi refleksi dan pembahasannya. Melalui beberapa contoh soal di bawah sobat idschool dapat melatih pemahaman materi ini. Contoh soal dan pembahasan tentang pencerminan terhadap garis y x dan y. Contoh soal dan pembahasan. Contoh soal dan pembahasan tentang pencerminan terhadap garis x a dan y b. Hasil translasi titik p 1 3 2 oleh t 1 dilanjutkan dengan t 2. Contoh soal dan pembahasan tentang transformasi.
Ada 5 macam transformasi geometri yang dipelajari di tingkat sma yaitu translasi pergeseran refleksi pencerminan rotasi perputaran dilatasi perubahan ukuran dan transformasi oleh matriks. Tentukan bayangan garis 3x 4y 5 0 oleh dilatasi dengan pusat 2 1 dan faktor skala 2. Refleksi atau pencerminan adalah memindahkan setiap titik pada bidang dengan menggunakan sifat bayangan cermin. 3x 4y 12 0. Contoh soal berikut meliputi soal translasi refleksi rotasi dan dilatasi. Mari kita simak pembahasannya.
Translasi adalah pemindahan objek sepanjang garis lurus dengan arah dan jarak tertentu. Sekilas tentang transformasi geometri. Ppt transformasi kumpulan. Contoh soal dan pembahasan tentang refleksi pencerminan. Refleksi atau pencerminan adalah suatu transformasi yang memindahkan titik titik dengan menggunakan sifat bayangan oleh suatu cermin. Posted in fisika geografi matematika statistik tagged contoh soal dilatasi brainly contoh soal dilatasi smp kelas 9 contoh soal dilatasi terhadap titik pusat o 0 0 contoh soal rotasi dan jawabannya contoh soal transformasi refleksi dan pembahasannya contoh soal translasi dan pembahasannya contoh soal translasi segitiga abc soal.
Sekian soal transformasi translasi refleksi. 3x 4y 12 0. Contoh 1 soal translasi. 3x 4y 12 0. Refleksi ini sendiri merupakan bagian dari materi pokok transformasi geometri. Disertai juga dengan pembahasan soalnya.
Soal transformasi translasi refleksi rotasi dan dilatasi kelas xi dan pembahasan translasi adalah transformasi yang memindahkan titik titik dengan jarak dan arah tertentu. Transformasi geometri adalah perubahan posisi dari posisi awal ke posisi yang lainnya. Contoh soal dan pembahasan tentang translasi pergeseran. Postingan ini membahas contoh soal jenis transformasi geometri yaitu translasi refleksi rotasi dan dilatasi yang disertai pembahasannya. Contoh soal dan pembahasan program linier matematika sma. 3x 4y 12 0.
Contoh soal dan pembahasan tentang pencerminan terhadap sumbu x sumbu y. Transformasi geometri adalah salah satu materi matematika bidang geometri yang mempelajari perubahan posisi dan ukuran benda dengan menggunakan konsep matematis. Di bawah ini terdapat beberapa contoh soal transformasi geometri beserta jawaban dan pembahasannya yang sudah kami kumpulkan untuk anda pelajari. 3x 4y 12 0.













