Dari dua populasi normal yg bebas ditarik dua sampel random berukuran n1 35 dan n2 50 yang menghasilkan rata rata 85 dan 78 dengan simpangan baku 54 dan 36. Uji satu pihak rumusan hipotesis.
Abstrak Pengujian Hipotesis Tentang Perbedaan Dua Parameter
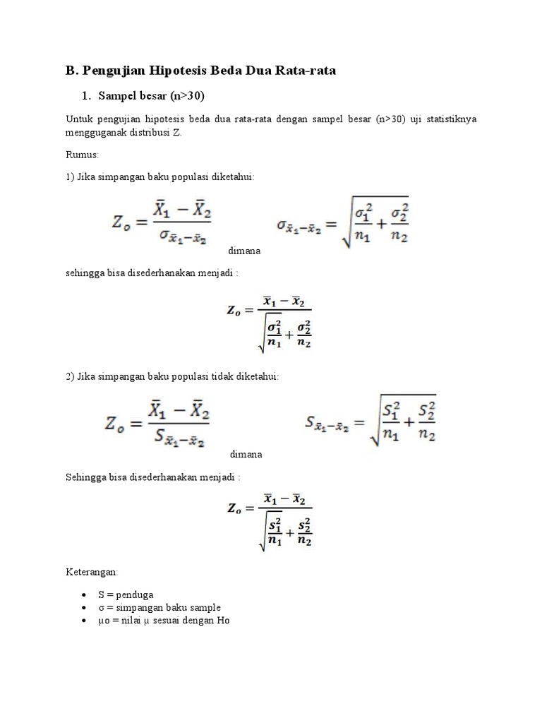
Contoh soal uji hipotesis beda dua rata rata. Pengujian ini merupakan uji statistik parametrik yang tentu saja harrus. Untuk pengujian hipotesis beda dua rata rata dengan sampel besar n30uji statistiknya menggunakan distribusi z. Langkah langkah uji hipotesis proporsi dua populasi dengan dua pihak unnes uji proporsi dua populasi 30. Uji hipotesis proporsi dua populasi dengan pihak kanan suatu pemungutan suara hendak dilakukan antara penduduk suatu kota dan sekitarnya untuk mengetahui pendapat mereka mengenai rencana pendirian sebuah gedung pertemuan serbaguna. 1 formulasi hipotesis 2 penentuan nilai dan nilai z tabel mengambil nilai sesuai soal kebijakan kemudian menentukan nilai atau dari tabel. If you continue browsing the site you agree to the use of cookies on this website.
Rata rata hasil belajar matematika siswa yang menggunakan model pembelajaran kolaboratif lebih rendah dari atau sama dengan rata rata hasil belajar matematika siswa yang menggunakan metode pembelajaran konvensional. Prosedur pengujian hipotesisnya ialah sebagai berikut. Ujilah hipotesis pada taraf nyata 5 bahwa μ1 μ2 dgn alternatifnya μ1 μ2. Salah satu teknik analisis statistik untuk menguji hipotesis dua rata rata. Pengujian hipotesis beda dua rata rata dalam praktek seringkali kita ingin mengetahui apakah ada perbedaan yang berarti dari dua rata rata. Kurniawan agung resmanto 2015 21 045 uji hipotesis dua rata rata digunakan untuk mengetahui ada atau tidak adanya perbedaan kesamaan rata antara dua buah data.
Pada hipotesis awal tidak terdapat perbedaan yang signifikan antara rata rata1 dan rata rata2sedangkan pada hipotesis alternatif sebaliknya yaitu terdapat perbedaan rata rata 1 dan rata rata 2. Misalnya apakah ada perbedaan hasil ujian statitik mahasiswa fakultas keguruan dan ilmu pendidikan di universitas a dan b kecepatan mengerjakan soal antara mahasiswa kelas regular dan bertaraf internasional dsb. Uji hipotesis proporsi dua populasi adalah pengujian dua proporsi yang masing masing proporsi tersebut berasal dari dua populasi yang berbeda serta independen. Seperti sebelum dan sesudah perlakuan beda perlakuan dengan atau tanpa perlakuan contoh 1 dilakukan uji klinis untuk mengetahui efektivitas obat tidur yang baru. Pdf ini merupakan penjelasan uji hipotesis beda dua rata rata secara singkat slideshare uses cookies to improve functionality and performance and to provide you with relevant advertising. Hipotesis dalam uji t dua sampelkelompok.
Uji kesamaan dua rata rata. Pengujian dua proporsi digunakan ketika akan membandingkan apakah proporsi pada populasi pertama lebih kecil sama atau lebih besar dibandingkan proporsi pada populasi kedua. Tugas statistik 3 pengujian hipotesis dua rata rata disusun dan dibuat oleh. Uji hipotesis beda dua rata rata aria gusti uji beda dua rata rata berpasangan paired test aria gusti dibutuhkan untuk mencek perbedaan yang bermakna antara dua nilai rata rata ketika sampel sampel tersebut tidak independen.
















