Sementara dari 5815 formasi di cpns 2019 kemenag alokasi terbanyak untuk kebutuhan jabatan dosen dengan 2131 formasi terdiri dari asisten ahli sebanyak 2016 formasi dan. Surat lamaran lebih ke arah penegasan soal identitas dan jabatan atau formasi yang akan dipilih pelamar di pendafataran cpns 2019.
Tak Perlu Bingung Ini Contoh Surat Lamaran Cpns 2019
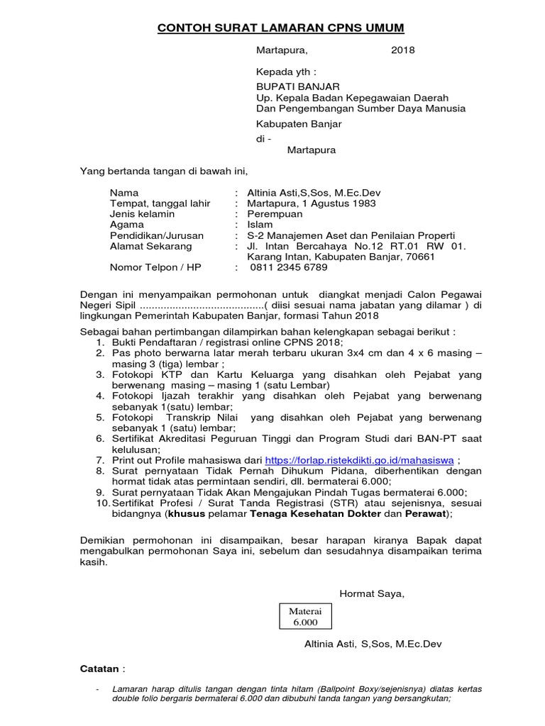
Contoh surat lamaran cpns tulis tangan 2018. Surat lamaran kerja cpns dan umum yang ditulis tangan adalah surat yang dibuat secara manual dengan menggunakan kertas folio bergaris dan ditulis langsung menggunakan tinta ballpoint. Hal tersebut selaras dengan yang diungkapkan oleh kepala bkd jatim anom surahno. Sertakan resume yang baik pada saat mengirimkan surat lamaran. Hal tersebut sudah menjadi hakikat manusia sebagai mahkluk sosial. Jadi yang paling membedakan adalah proses penulisannya yaitu media atau alat yang digunakan. Jadi usahakan membuat surat lamaran dengan ketikan komputer daripada anda membuat surat lamaran tulisan tangan bisa dipastikan hanya akan jadi pengisi kotak sampah.
Dokumen yang anda download dalam artikel ini sudah dalam bentuk dokumen word yang dapat di edit sesuai dengan data anda. Tempat tanggal lahir. Lamaran kerja cpns tulis tangan cara menyusun surat lamaran cpns. Berikut ini adalah beberapa tips sederhana yang dapat diterapkan pada saat menyusun surat lamaran yakni sebagai berikut. Serta mungkin juga informasi pengumuman alokasi formasi berikut pembahasannya. Pergunakan ukuran kertas standar.
Bagi pelamar cpns kemenag 2019 yang ingin mengunduh contoh surat lamaran di atas dalam format pdf bisa men download nya melalui tautan ini contoh surat lamaran cpns 2019 untuk instansi kemenag ada pada bagian lampiran. Laki laki perempuan nik. Dan untuk memenuhi kebutuhan tersebut setiap orang tentu harus bekerja dan mendapatkan penghasilan. Nah jangan lagi mencari contoh surat lamaran cpns tulis tangan ya percuma karena tidak diterima. Contoh surat lamaran kerja 2019 terbaru bagi seseorang yang ingin bekerja pada suatu perusahaan pasti akan mendaftarkan diri dengan membuat persyaratan tertentu agar kemungkinan besar diterima pada perusahaan tersebut yang salah satunya adalah surat lamaran kerja. 15 contoh surat lamaran kerja 2018 terbaru dan paling lengkap setiap orang tentu memiliki kebutuhan yang harus dipenuhi setiap harinya.
Contoh surat lamaran kerja pada artikel ini kita akan membahas contoh surat lamaran pekerjaan yang dapat kamu dapatkan beserta file doc nya. Surat lamaran kerja benar benar merupakan hal kebutuhan utama bagi kita para pencari kerja untuk mendapatkan pekerjaan yang layak apakah dari kita yang baru saja wisuda kuliah pindah kerja dari perusahaan lain mencari suasana yang baru ataupun. Pada umumnya isi surat ini sama saja dengan yang diketik menggunakan mesin ketik ataupun komputer. Biasanya ukuran standar adalah ukuran kuarto letter. Tetapi banyak sekali diantara kita yang tidak tahu bagaimana cara membuat surat lamaran kerja yang baik agar kemungkinan. Bagi anda yang mencari contoh surat pernyataan surat lamaran dan contoh dokumen persyaratan pendaftaran cpns terbaru.
Berdasarkan contoh surat lamaran cpns 2019 yang dibagikan oleh beberapa instansi pusat dan daerah rata rata surat itu memuat beberapa informasi di antaranya yaitu nama pelamar jenis kelamin jenjang pendidikan. Yang bertanda tangan di bawah ini nama.
















