Akan di uji validitas dan reliabilitas variabel kepuasan kerja. Validitas dan realibilitasnah buat postingan ini saya akan menjelaskan bagaimana contoh kasus uji validitas dan realibilitas dan langkah langkah pengerjaannya.
Cara Uji Validitas Spss Berdasarkan Data Kuesioner Advernesia
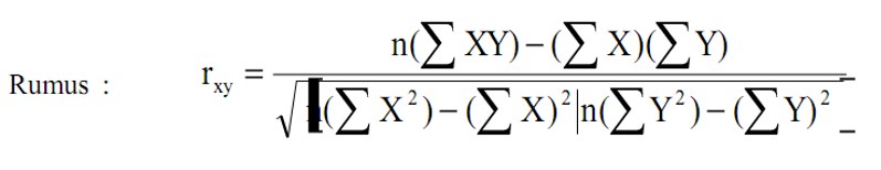
Contoh uji validitas dan reliabilitas. Klo untuk materi nya langsung aja ke validitas dan realibilitas. Uji validitas dan reliabilitas. Video tutorial uji validitas dan reliabilitas stata 16 lengkap dilengkapi file materi dan software stata 16 merupakan panduan yang lengkap dan detail klik link dibawah untuk mendapatkannya httpsbitlyujistata. Jadi postingan ini tidak ada lagi materi. Sebelum kita melakukan pengujian baiknya kita ketahui terlebih dahulu apa dan bagaimana suatu kuesioner bisa dikatakan valid dan reliabel. Artikel uji validitas dan uji reliabilitas dengan spss ini menggunakan korelasi product moment.
Posting pada sosiologi ditag 2006 2012 cara agar instrumen valid dan reliabel cara menghitung indeks validitas tes contoh instrumen non tes contoh reliabilitas contoh soal reliabilitas contoh soal validitas dan reliabilitas contoh uji validitas dan reliabilitas manual contoh validitas cooper dan schindler cronbach alpha 0 5 cronbach alpha menurut sugiyono dalam zulganef definisi. Uji validitas dan reliabilitas. Ok sebelum saya berikan penjelasan lebih lanjut mengenai uji reliabilitas serta perhitungan dan contoh uji reliabilitas dengan excel kita coba review sedikit apa keterkaitan uji validitas dan reliabilitas. Uji coba ini dilakukan untuk memperoleh bukti sejauh mana ketepatan dan kecermatan alat ukur dalam melakukan fungsi ukurnya. Validitas dan reliabilitas setelah peneliti menyelesaikan variabel penelitian dan disusul dengan definisi operasional kemudian instrumen pengukuran yaitu kuesioner maka langkah selanjutnya menguji validitas dan reliabilitas. Selain itu validitas adalah suatu ukuran yang menunjukkan bahwa variabel yang diukur memang benar benar variabel yang hendak.
Uji validitas dan reliabilitas. Berikut kami sampai dulu singkat saja perihal perbedaan antara uji validitas dan reliabilitas. Sebagian pembaca mungkin bertanya tanya selama ini apa sih perbedaan antara uji validitas dan reliabilitas. Article 2014 article. Keduanya adalah dua hal yang benar benar berbeda namun saling melengkapi satu sama lain. 5 mei 2020 0400.
Validitas berasal dari kata validity yang mempunyai arti sejauh mana ketepatan dan kecermatan suatu alat ukur dalam melakukam fungsi ukurannya azwar 1986. Definisi validitas dan reliabilitas dapat dilihat di sini. Validitas dan reliabilitas bertujuan untuk megetahui sejauh mana kuesiner yang dibuat tepat dan dapat diandalkan untuk sebuah penelitian. Pengertian validitas menurut anastasia dan urbina adalah mengenai apa dan seberapa baik suatu alat tes dapat mengukur sedangkan reliabilitas merujuk pada konsistensi skor yang dicapai oleh orang yang sama ketika diuji berulang kali dengan tes yang sama pada kesempatan yang berbeda atau dengan seperangkat butir butir ekuivalen equivalent items yang berbeda atau dibawah kondisi pengujian. Uji validitas dan reliabilitas. Untuk setiap dimensi atau aspek atau indikator dalam set pertanyaan spesifik harus memenuhi 2 prinsip utama setiap pengukuran atau pengamatan disebut ketepatan dan.
Persyaratan bagi sebuah test instrumen penelitian yaitu validitas dan reliabilitas ini penting.
















