Input tersebut kemudian diproses sesuai dengan kebutuhan fungsionalnya untuk melihat apakah program aplikasi dapat menghasilkan output yang sesuai dengan yang diinginkan dan sesuai pula dengan fungsi dasar dari program tersebut. Jadi dianalogikan seperti kita melihat suatu koatak hitam kit hanya bisa melihat penampilan luarnya saja tanpa tau ada apa dibalik bungkus hitam nya.
White Box Testing Youtube
Contoh white box testing. The key here is to know when to go for white box testing. Black box testing adalah pengujian yang dilakukan hanya mengamati hasil eksekusi melalui data uji dan memeriksa fungsional dari perangkat lunak. Contoh white box testing author aris. Bisa anda lihat pada artikel ini contoh pengujian white box sendiri biasanya terdiri dari berbagai macam pengujian salah satu metode pungujian white box software adalah dengan basis patch. Date 3242014 pendidikan universitas. White box testing represents a solid way for your team to prepare for and execute comprehensive testing when it is necessary.
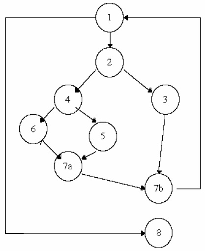
White box testing pengertian persyaratan jenis kelebihan kekurangan pengujian contoh untuk pembahasan kali ini kami akan mengulas mengenai white box testing yang dimana dalam hal ini meliputi pengertian persyaratan jenis kelebihan kekurangan pengujian dan contoh nah agar dapat lebih memahami dan dimengerti simak ulasan selengkapnya dibawah ini. Secara sekilas dapat diambil kesimpulan white box testing merupakan petunjuk untuk mendapatkan program yang benar secara 100. White box testing adalah oleh dosenpendidikan diposting pada 30042020 white box testing pengertian persyaratan jenis kelebihan kekurangan pengujian contoh untuk pembahasan kali ini kami akan mengulas mengenai white box testing yang dimana dalam hal ini meliputi pengertian. White box testing adalah pengujian yang didasarkan pada pengecekan terhadap detail perancangan menggunakan struktur kontrol dari desain program secara procedural untuk membagi pengujian ke dalam beberapa kasus pengujian. White box testing structural testing or logic driven testing or glass box testing yang dibutuhkan source code menguji lebih dekat tentang detail prosedur perangkat lunak. White box testing adalah pengujian yang didasarkan pada pengecekan terhadap detail perancangan menggunakan struktur kontrol dari desain program secara procedural untuk membagi pengujian ke dalam beberapa kasus pengujian.
Depending on the maturity of the system in question the testers experience with the system and whether youre at early stages of a product life cycle or trying to improve code quality your decision will. Black box testing dan contoh pengujian black box terima kasih telah berkunjung ke blog indonesia pintar pada artikel yang anda baca kali ini dengan judul black box testing dan contoh pengujian black box telah disiapkan dengan sebaik mungkin agar pembaca dapat dengan mudah memahami dan mangambil informasi didalamnyasemoga artikel materi pembelajaran yang kami publish ini mudah dipahami. Secara sekilas dapat diambil kesimpulan white box testing merupakan petunjuk untuk mendapatkan program yang benar secara 100. Contoh pengujian black box testing black box testing adalah pengujian dilakukan dengan cara memberikan sejumlah input pada program. Logical path jalur logika perangkat lunak.

















